【1】睡眠時無呼吸症候群とは
睡眠の分断がさまざまな悪影響を及ぼします
睡眠時無呼吸症候群とは、寝ているときに何らかの原因で呼吸が弱くなったり、一時的に止まったりしまう病態です。呼吸が止まると苦しくなって深い睡眠が分断され、十分な睡眠休養が得られなくなります。すると、日中の眠気や集中力低下、起床時の頭痛などの症状が出現します。そのような状態が長期間続くと、虚血性心疾患や不整脈、糖尿病や高血圧症といった生活習慣病を合併する危険性が高くなることも知られています。

【2】睡眠時無呼吸症候群の疫学
睡眠時時無呼吸症候群の原因と有病率
睡眠時無呼吸の原因はいくつかありますが、大部分は上気道(鼻から喉までの気道)の閉塞を主病態とする閉塞性睡眠時無呼吸(以下:OSA)です。OSAは世間で認識されている以上に有病率が高く、生活習慣病に合併することも多いありふれた疾患です。

定義にもよりますが、軽症(AHI:Apnea Hypopnea Index:無呼吸低呼吸指数=5~)も含めると1993年の報告ではアメリカ人男性の24%、女性の9%がOSAに該当したとされます(*1)。眠気症状があった人に限ると男性4%/女性2%でしたが、2013年の同じグループの研究報告(*2)ではそれぞれ14.3%/5%に増大していました。肥満の方が増え、患者数も増えているのです。
日本の研究でも、30歳以上の男女の14.4%がAHI 15以上(中等症)の睡眠時無呼吸であったとされており、アメリカと同程度でした。アジア人は欧米人と比較して平たい顔をしていることから、肥満の程度がそれほどでなくてもOSAになりやすいと考えられています。
睡眠時無呼吸症候群の代表的な治療法
OSAの治療には「CPAP」というコンパクトな装置を用いた持続的気道陽圧療法(※鼻に装着したマスクから送り込む空気の圧により、気道を確保する治療)が一般的です。正しく装着できれば極めて有効な治療法です。日本における CPAP 使用患者は年々増加しており、2019 年度のデータでは 61.7 万人でしたが、AHIが5回/時以上のOSA患者は2200万人存在すると推計されており(*3)、大多数が未診断で本来のパフォーマンスを発揮しきれていないものと思われます。

CPAP使用患者の内訳は男性が 52.6 万人、女性が 9.1万人であり、男性患者は女性患者の約 6 倍となっています。治療対象となりうる患者さんは極めて多く、特に女性や若年者で未治療の方が多そうです。OSA に肥満の中年男性というイメージがあるため、受診しにくくなっている可能性もあります。そもそも自身で可能性を疑うことすらないのかもしれません。
いびきは無呼吸のサインのひとつ
家族からいびきを指摘されて受診するパターンは、一家の大黒柱であるご主人に多いのですが、奥様や学生のお子さんであってもいびきが気になるようであれば、より積極的に受診いただき少なくともスクリーニング検査は受けられた方が良いでしょう。

【3】若年者の閉塞性睡眠時無呼吸と学業成績の関係
未成年でも睡眠時無呼吸症候群に
ヨルダンの大学生777人を対象とした研究では、いびきは11%に、日中の眠気や疲労は30%に認められ、最終的に42人5.4%がOSA高リスクと判断されています(*4)。また、インドの小学生を対象とした研究でもOSA有病率は9.6%と高値でした(*5)。両者ともOSAは学業成績不良と関連すると報告しています。

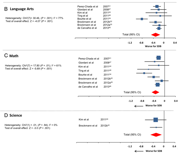
OSAと学業成績の関係を検討した論文は他にも多数あります。16編の論文の系統的レビューでは、OSAが語学、数学、科学の成績に悪影響を及ぼしていることが示されました。上のグラフのB Language Arts は語学、C Mathは数学、D Scienceは科学と科目を表します。グラフは各研究で、それぞれの科目においてOASが成績にどの程度悪影響を及ぼしたかを示しています。青い正方形部分を中心に、横線の範囲がマイナスであればあるほど強く悪影響を及ぼすことを示しています。赤い菱形はこれらの総計を表しています。すべての科目で赤い菱形は0をまたがずマイナスに位置しており、OSAが有意に学業成績に負の影響を及ぼすことを示しています。つまりOSAを有すると成績が良くないということになります。
この研究では、医療従事者は学童・学生の学業成績に問題がある場合、OSAの可能性を考慮する必要があると結論しています(*6)。もし学生の方で、授業中あるいは自宅でも机に向かって勉強している途中に眠ってしまう、あるいは時間をかけて勉強しているのにいっこうに成績が上がらない場合など、一度OSAの簡単な検査を受けてみられることをおすすめします。もちろん社会人の方でも同様の症状があるようでしたらお気軽にご相談ください。

他にも朝なかなか起きられない、起床後の頭痛、車や電車で座っているとあっという間に寝てしまう、繰り返すいびきといった症状を伴う場合もあります。また気分の激しい落ち込みやモチベーションの低下といった一見無関係の症状を伴うこともあります。ただし、OSAだからといって眠気などの症状が必ず生じるわけではありません。筑波大学の研究ではOSAの重症度と日中の眠気は回帰直線から大きく外れ、重症でも日中眠気のないOSA患者も多かったと報告されています(*7)。思うように成績が上がらないだけでもOSAが影響している可能性があります。基礎に花粉症や通年性アレルギー性鼻炎を有することもあります。
将来への影響
なお、デンマークで行われた研究では若年OSAが就労や労働収入に影響を及ぼすことが示されています。デンマークの社会保険情報から収集した若年OSA患者1004人(10±6歳)を対象とし、年齢・性別・居住地でマッチングした4085人の非患者と20歳時点で比較しています。OSA患者群では高等教育への到達率が低く、就労率(43.4 vs 56.0%)や労働収入(€10,528 vs €11,745 = 169万円 vs 188万円)も低いという結果でした(*8)。若年OSAが学業成績のみならず、卒業後の社会的状況にも負の影響をもたらす可能性が示されています。
普段からOSAの患者さんに接している身としては、非常に納得できる結果です。OSAと診断された方がCPAP治療を受けられると「ほんとうに熟睡できた」「朝すっきり起きられるようになり、頭痛もなくなった」「日中の眠気が消えた」など、頭がすっきりし気分爽快となったとお話しされる方がたくさんおられます。すこしでも気になることがあるようでしたら、まずスクリーニング検査を受けていただきたいと思います。

【4】OSAの治療
生活の質改善も見据えた治療をご提案
学童のOSA治療には主に外科的介入(アデノイド・扁桃切除術)や陽圧呼吸療法(CPAP)が用いられます。アデノイド・扁桃切除術は、OSAの症状や生活の質を改善する効果があるとされています(*9)。CPAPは特に効果的な治療法として認識されていますが、若者の適応性や長期間の使用に関する問題が指摘されています(*10)。陽圧呼吸療法の遵守率が低く、適切な教育とサポートが必要とされているのです(*11)。

当法人ではOASの患者様に快眠していただけるよう、さまざまな工夫を行っています。OSA のみを治療するのではなく、OSA 治療を契機として睡眠の重要性を理解していただき、背景にある好ましくない生活習慣や肥満を改善する取り組みにまでつなげるよう配慮しています。
それは、個人としてはQOL(クオリティ・オブ・ライフ=生活の質)・パフォーマンス(学業・スポーツ・仕事など)の改善や生活習慣病の回避、社会にとっては生産性回復を促すことになります。いままで眠気を認識していなかったあるいは軽視していた患者さんが、OSA の治療により眠気が改善し、日中のパフォーマンスが上がるということを経験してはじめて、睡眠時間を削るよりも睡眠を適切に確保した方が結果として 1 日を有意義に過ごすことができると気づくこともあると思います。規則正しく十分な睡眠をとる習慣がつき,肥満が改善するような食習慣,運動習慣が身につくよう、皆様を全力でサポートしていきたいと考えています。

執筆:
医療法人みなとみらい 茅ヶ崎金沢内科クリニック 院長
石川友一
2024年12月掲載
*1. Young T, Palta M, Dempsey J, Skatrud J, Weber S, Badr S. The occurrence of sleep-disordered breathing among middle-aged adults. N Engl J Med 1993;328:1230–1235. doi:10.1056/NEJM199304293281704.
*2. Peppard PE, Young T, Barnet JH, Palta M, Hagen EW, Hla KM. Increased prevalence of sleep-disordered breathing in adults. Am J Epidemiol 2013;177:1006–1014. doi:10.1093/aje/kws342.
*3. Benjafield AV, Ayas NT, Eastwood PR, Heinzer R, Ip MSM, Morrell MJ, et al. Estimation of the global prevalence and burden of obstructive sleep apnoea: a literature-based analysis. Lancet Respir Med 2019;7:687–698. doi:10.1016/S2213-2600(19)30198-5.
*4. Khassawneh BY, Alkhatib LL, Ibnian AM, Khader YS. The association of snoring and risk of obstructive sleep apnea with poor academic performance among university students. Sleep Breath 2018;22:831–836. doi:10.1007/s11325-018-1665-z.
*5. Goyal A, Pakhare AP, Bhatt GC, Choudhary B, Patil R. Association of pediatric obstructive sleep apnea with poor academic performance: A school-based study from India. Lung India 2018;35:132–136. doi:10.4103/lungindia.lungindia_218_17.
*6. Galland B, Spruyt K, Dawes P, McDowall PS, Elder D, Schaughency E. Sleep Disordered Breathing and Academic Performance: A Meta-analysis. Pediatrics 2015;136:e934–e946. doi:10.1542/peds.2015-1677.
*7. 佐藤 誠:閉塞性睡眠時無呼吸症候群:精緻医療時代の臨床課題.THE LUNG perspectives 28 : 17―21, 2020.
*8. Biggs SN, Vlahandonis A, Anderson V, Bourke R, Nixon GM, Davey MJ, et al. Long-term changes in neurocognition and behavior following treatment of sleep disordered breathing in school-aged children. Sleep 2014;37:77–84. doi:10.5665/sleep.3312.
*9. Marcus CL, Moore RH, Rosen CL, Giordani B, Garetz SL, Taylor HG, et al. A randomized trial of adenotonsillectomy for childhood sleep apnea. N Engl J Med 2013;368:2366–2376. doi:10.1056/NEJMoa1215881.
*10. Hady KK, Okorie CUA. Positive Airway Pressure Therapy for Pediatric Obstructive Sleep Apnea. Children (Basel) 2021;8:979. doi:10.3390/children8110979.
*11. DiFeo N, Meltzer LJ, Beck SE, Karamessinis LR, Cornaglia MA, Traylor J, et al. Predictors of Positive Airway Pressure Therapy Adherence in Children: A Prospective Study. Journal of Clinical Sleep Medicine n.d.;08:279–286. doi:10.5664/jcsm.1914.
茅ヶ崎金沢内科クリニック
小児循環器内科のご案内
「茅ヶ崎金沢内科クリニック」では、小学生以上の方を対象に、睡眠時無呼吸をはじめ、心臓や血管に関わるさまざまな病気の診療を行っています。診療は日本循環器学会循環器内科専門医で日本小児循環器学会専門医・評議員の院長が担当しておりますので、診療をご希望の方はお電話にてお問い合わせください。
- 診察予約受付 / TEL:0467-87-8282
- 予約受付時間 / 9:00~12:00、14:00~17:30(土曜は9:00~12:30まで)
- 休診日 / 木曜、土曜・午後、日曜、祝日
初診予約については、茅ヶ崎金沢内科クリニックのホームページも併せてご参照ください。
